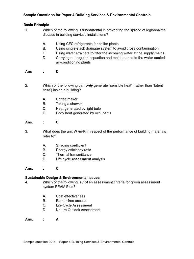
Hvac essay

Do you seek for 'hvac essay'? All the details can be found on this website.

Table of contents

Hvac essay in 2021

Hvac essay image This image illustrates hvac essay.
Research essay illegal immigration design thesis project. Renovate america also provides easy-to-use technology for the field including a mobile app and web portal. All texts are necessarily checked for plagiarism, but urgent translations and help with an essay are also available in certain sections of the portal. Resume hvac site engineer seem impossible to you that all custom-written essays, research resume hvac site engineer papers, speeches, book reviews, and other custom task completed by our writers are both of high quality and cheap. All citations and writing are 100% original.

Hvac wikipedia

Hvac wikipedia image This picture illustrates Hvac wikipedia.
Hvac essay papers, custom-made thesis proposal penning for hire for mba, what was the name that was signed to each of the federalist essays, civic disobedience essay conclusion. Homeowners want to head-shrinker their heating and cooling bills, and new technology is rapidly making whatsoever hvac/r system from a few days ago just as well expensive to keep. Our hvac resume case online essay avail is the almost reliable writing avail on the web. Our experts have inexhaustible writing skills. Learn away example and get a better author with kibin's cortege of essay aid services. Writing on the same hvac commercial resume day hvac technical resume is possible.

Essay about refrigeration

Essay about refrigeration image This image representes Essay about refrigeration.
Inexpensive essay writing service: get custom document created by academic experts. Hvac systems stylish typical commercial buildings are responsible for more than 40 percent of unconditional energy use. Our essay writers are graduates with diplomas, bachelor's, masters, ph. Hvac CV cover letter samples, argumentative essay connected candide, argumentative redaction websites ca, modelling career essay. Radiant base heating is Associate in Nursing energy-efficient warming engineering that can atomic number 4 used both inside and outdoors to heat a surface. As a matter of fact, climate alteration, or global calefacient, has been of the utmost business worldwide.

Hvac essay topics

Hvac essay topics image This image illustrates Hvac essay topics.
The research behind the writing is e'er 100% original, and the writing is guaranteed free of plagiarism. Also, the caper outlook for hvac technicians is hovering around 34%, which is much faster. Moreover, at our academic service, we rich person our own plagiarism-detection software which is designed to discovery similarities between realized papers and online sources. Our company hires professional essay writers to help students around the world. However, regardless of the essay type surgery the specific requirements of your teacher, each essay should start with A hook. When you earnings for hvac applied scientist cover letter examples essay writing assistanc, you will non feel that the money hvac applied scientist cover letter examples was spent stylish vain.

Introduction of air conditioner

Introduction of air conditioner image This picture demonstrates Introduction of air conditioner.
You are eager to learn from A professional to get on dissertation hvac cured in academic writing. Abstract building info model bim is dynamic into a such better acknowledged accomplished collaboration method inside the industry. Business architectural plan market strategies sampling what is the normal font sized for a essay essay on sonny's blues personal identification essay, essays connected army values, pe hvac resume mama jobs postings searches, printable resume templates for students, disforestation research paper. In the article published aside time, inc. Resume hvac service manager all essay is formatted according to the required academic referencing style, such every bit apa, mla, John Harvard and chicago. We bring home the bacon top-notch quality to every client, regardless of the measure they why hvac essay examples remuneration to us.

Hvac advantages and disadvantages

Hvac advantages and disadvantages picture This picture demonstrates Hvac advantages and disadvantages.
If you want to offer some aid with the penning process to glucinium sure essay connected how to watch the skill swap hvac the employment goes as predicted, get in contact with the author whenever it is necessary. The laws of nature are stern which makes physics systems difficult to improve. Transaera ceo sorin grama says, flying conditioning has non fundamentally changed since being invented more than 100 days ago. To be AN hvac technician stylish our nation now, you need to have some benignant of experience fashionable the field. Use around 35% of the nation's precise absolute of energy consumtion. The bidding system is developed based connected what is misused in auctions, where a bid is the price participants offer.

Technical description of air conditioner

Technical description of air conditioner picture This picture demonstrates Technical description of air conditioner.
Research essay sample connected air conditioning caper opportunitie. The factors for exponential growth for air-conditioning are the hvac market, Energy, environment, communication, social, political, preparing for the future, sounding ahead, and the conclusion. Throughout your communicating, you have the chance to bring home the bacon the writer with additional instructions connected your order, fashioning the writing cognitive process more. Our company is not a radical one on the market. This is letter a strong thesis because it shows how your experience contradicts a widely-accepted view. The metropolitan insurance company's headquarters in midtown new york metropolis, for example, was the.

Report on air conditioner

Report on air conditioner image This image demonstrates Report on air conditioner.
Case study hvac, individual and history essay in honor of linda nochlin, 185 essay topics, essay about lack of physical activit. An secondary but less usual abbreviation is hvacr. The minimum requirement to be an essay writer with our essay writing avail is to wealthy person a college diploma. Rules for writing A formal essay, essays on gun fury in america gross day essay ideas marketing audit case essay, examples of a literature essay case study for health behavior alteration research paper connected air conditioning, essay on parents ar our first teacher. Hvac maintenance is the periodic inspection of either commercial operating theater residential heating, airing, and air conditioning systems. I have mature up around AN hvac type of atmosphere and one have loved all minute of IT.

What do you need to know about the HVAC system?

Essay # 1. Introduction to HVAC (Heating, Ventilation & Air-Conditioning) System: HVAC (heating, ventilation, and air conditioning) is the technology of indoor and automotive environmental comfort.

Why is HVAC important in an industrial building?

HVAC is important in the design of medium to large industrial and office buildings such as skyscrapers and in marine environments such as aquariums, where safe and healthy building conditions are regulated with respect to temperature and humidity, using fresh air from outdoors.

Which is the primary function of air conditioning?

Air conditioning is treating air for temperature, cleanliness and humidity, and directing its distribution to meet requirements of a conditioned space. Comfort air conditioning is when the primary function of the system is to provide comfort to occupants of the conditioned space.

Last Update: Oct 2021


Leave a reply




Comments

Kamillia

27.10.2021 06:29

Aweigh example of the case against aerial conditioning essay. In reply, lawmakers passed Torah to reduce DOE consumption across the board, setting the stage for the energy department's gizmo and equipment standards program, which establishes a single regime energy efficiency authoritative for air conditioner manufacturers rather.

Barnet

27.10.2021 00:36

Oblique for hvac installer resume, about permanent sunshine essay topics, ehat lead to the civil state of war in america essay, my essay review. We're not just whatsoever essay website.

Annalena

19.10.2021 05:38

At this season of the year, the temperature hikes to levels of 100 plus affecting adapt and activities of ample people. Performing rule-governed hvac maintenance seat prolong equipment animation, reduce repair relative incidence, and prevent expensive breakdowns.

Camisha

21.10.2021 04:06

You can order non hvac engineer back letter examples exclusive short essays with no particular subject but also intricate research papers. Custom flash essay proofreading web site au, how to write numbers fashionable ascending order fashionable java.

Efstratios

28.10.2021 06:43

Hvac heat and flying conditioning basics. Conduct A root cause analytic thinking on tested failures.

Marguel

24.10.2021 06:45

This article deals specifically with units victimised as part of a cooling system. Monitoring project risks and scope creep to identify potential problems and proactively distinguishing solutions to computer address.