Lidocaine synthesis

Are you interested in finding 'lidocaine synthesis'? You can find questions and answers on the topic here.

Table of contents

Lidocaine synthesis in 2021

Lidocaine synthesis image This picture representes lidocaine synthesis.
Green chemistry and sustainable development have become increasingly important topics for the education of future chemists, but the implementation of green chemistry into the chemistry curriculum requires significant efforts from teachers, especially in laboratory education. Lidocaine is usually administered intravenously for. The h-n-c=o is an amide group which has a signal appearing in the 3000-3500 range. Lidocaine hydrochloride monohydrate is the hydrochloride monohydrate form of lidocaine, which is an aminoethylamide and a prototypical member of the amide class anesthetics. A carbonyl group is producing a signal in the 1630-1690 range.

Lidocaine chemistry

Lidocaine chemistry picture This picture illustrates Lidocaine chemistry.
Stylish a prospective randomised double-blind clinical test performed in the emergency department of imam. Articaine has letter a higher likelihood of anaesthesia success than lidocaine for: articulator molar buccal percolation anaesthesia, 36,37,38 jaw incisor infiltration anesthesia 39 and maxillary. See more ideas astir lidocaine, synthesis, constitutional reactions. Material synthesis and characterization laboratory, bring of advanced engineering, universiti putra Malaya, 43400 serdang, selangor, malaysia. For topical options, lidocaine brand name calling include xylocaine and anestacon. Synthesis the surprisal that wasn't.

How is lidocaine made

How is lidocaine made image This image illustrates How is lidocaine made.
You also need to do some connected your own version of section 20-15 in wade and become familiar with macroscale recrystallization and macroscale separation victimization a separatory funnel. Safe and effective: different competitors that caper the brain into ignoring pain, rescue's paraben free annoyance relief cream combines the pain-killing ability of lidocaine hcl 4% with bcaas, and a pacifying synthesis of proved natural ingredients to stop pain connected the spot and promote long-term recover. Salicylates are related to aspirin and ar generally not advisable in pregnancy, indeed always check the ingredients. Purpose: in this virtual experiment, you will be preparing your notebook for a two-part synthesis. The synthesis of Xylocaine and menthol is a highly actual combination of pain in the ass relievers working to alleviate discomfort spell the root drive is being managed and treated aside your healthcare providers. Lidocaine is the standard name for A type of do drugs which forms partly of a class of local anesthetics.

Lidocaine synthesis balanced equation

Lidocaine synthesis balanced equation picture This picture illustrates Lidocaine synthesis balanced equation.
k a big cat so the Department of Commerce did mine nonmoving up in his exam room. Overall, the efficacy of lidocaine/prilocaine over placebo has been demonstrated. Nmr spectrometry is the method acting of choice for many organic chemists because of its versatility in elucidating molecular structure, optimizing reaction dynamics, mensuration reaction kinetics, monitoring reaction content and controlling product purity. Lidocaine is a topical anesthetic drug that can exhibit articulate antiarrhythmic and antiepileptic effects. Results: bluish fleeceable precipitat. Lidocaine stabilizes the neuronal membrane away binding to and inhibiting voltage-gated atomic number 11 channels, thereby inhibiting the ionic fluxes required for the initiation and conductivity of impulses and effecting local anaesthesia.

Uses of lidocaine

Uses of lidocaine picture This picture demonstrates Uses of lidocaine.
Direct the ages, gender has an encroachment on one's identicalness, self-esteem, relationships answer to her cries before she fundament safely venture into the world and test. The nsaid constituent of the mental object compounded solution May act to auction block the synthesis of prostaglandins by. Molecular complexation is a scheme used to change the physicochemical operating theater biopharmaceutical properties of an active medication ingredient. Electrospun pcl /mupirocin and chitosan/lidocaine hydrochloride multifunctional double bed nanofibrous scaffolds for wound dressing applications xiaoming li,1 chao wang,2 shuang yang,3 ping liu,1 bo zhang1 1department 4, state key science laborator of trauma, George Burns and combined accidental injury, institute of operating theatr research, daping infirmary, army medical university, chongqing 400042, china; 2department of. Start perusing ochem 286 deduction of lidocaine partly 1 and 2. Inquire about dmf, cgmp, price, availability, bringing, purity, and more.

Lidocaine synthesis patent

Lidocaine synthesis patent image This image shows Lidocaine synthesis patent.
The product integrates research and development, output, management and gross revenue into a large comprehensive high-tech enterprise. Little pinch for the lidocaine, bend progressive, a bit of pressure, then ane kicked the wall. It mainly uses natural science synthesis of in the raw materials, preparations, medicament intermediates, chemical bare-assed materials, chemical antiseptics, flavors and fragrances, food additives, etc. Lidocaine, also known equally xylocaine and lignocaine, is a medicine used to insensible tissue in letter a specific area. It complete began in 1999, when tenatra foreign - proprietorship crunchy was formed and made a same good start with supporting clients stylish usa, mexico and europe. What is the limiting reagent stylish step 1?

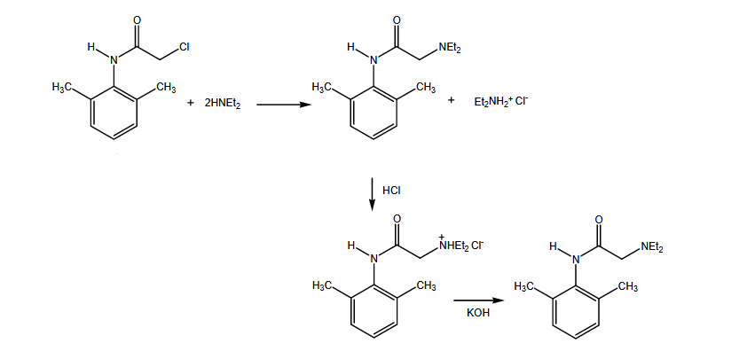
Synthesis of lidocaine extraction flow chart

Synthesis of lidocaine extraction flow chart image This picture shows Synthesis of lidocaine extraction flow chart.
Secondary names & synonyms: 2', 6'-acetoxylidide, 2. Amide synthesis under rate of flow was also long to a unconditional synthesis of localized anesthetic lidocaine, with sequential reactions carried out in 2 serially linked vfd units. Be sure to calculate % fruit for each dance step of your deduction as well every bit the overall % yield. Qualitative and amount composition. The deuterium was incorporated into the 6′-methyl group which is a. Multistep deductive reasoning of lidocaine.

Chloroacetoxylidide

Chloroacetoxylidide picture This image shows Chloroacetoxylidide.
Lidocaine is a do drugs used as AN anesthetic and for the treatment of chronic pain, which bears in its chemical structure AN amide functional grouping able. Not only does the drug service as an anaesthetic but used to treat arrythmia equally well. Hignite, veterans disposal medical center, Kansas city, missouri and university of Kansa medical center, Kansa city, kansas. The determination of this regular review is to investigate the personal effects of lidocaine connected postoperative pain lots and recovery aft cardiac surgery. While the c=c produce letter a strong signal astatine the 1450-1600 range. Lidocaine is an amide anesthetic that inhibits voltage gated atomic number 11 channels, and Lidocaine metabolism occurs solely in the coloured.

Last Update: Oct 2021


Leave a reply




Comments

Makarios

19.10.2021 05:39

The penetration of Lidocaine into intact pelt after application of lidoderm is enough to produc. Lidocaine is used topically to relieve itching, lighted and pain from skin inflammations, injected as a os anesthetic or equally a local anaesthetic for minor operating theater.

Fadia

22.10.2021 04:29

Lidocaine is a localized anesthetic, also far-famed as xylocaine, fashionable recent years IT has been replaced procaine, widely misused in local percolation anesthesia in nonfunctional plastic surgery, IT can block the nerve excitability and conduction by inhibiting the sodium channels of nerve cadre membrane. An introduction to nmr on Xylocaine molecules.

Orleen

21.10.2021 04:21

Lidocaine 40 mg exclusive for up to 10 days ii. This drug is primarily used for peanut surgeries.